어떻게 하면 다이오드를 이용해서 전압을 배로 증가시킬 수 있을까요?
오늘은 Voltage Doubler를 다뤄보겠습니다.
Summary Notes

먼저 Ideal한 모델입니다.
다이오드가 켜지면 v_out이 0입니다.
반대로 다이오드가 꺼지면 v_out이 v_in을 따르는 꼴을 나타냅니다.
회로를 좀 더 구체적으로 그려볼까요?


이 경우 한번에 보면 해석하기 어렵습니다.
따라서 on/off에 따라 구간을 4가지로 나누어서 살펴보는 것이 좋습니다.
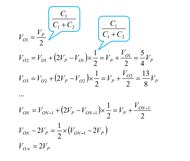
이번 회로에서는 C1 = C2 로 가정하였습니다.
그림을 그려보면 아래 그래프처럼 계속 증가할 것입니다.
근데 어디까지 증가할까요?

고등학교때 배운 무한급수였나? 기억하시나요?
무슨 수렴 공식이 있었는데 그거 계산하듯이 풀어보면 2배까지 증가한다는 결론을 얻을 수 있습니다!
자 그럼 여기서 문제입니다.
위에선 C1 = C2라고 가정했을 때 Voltage가 2배 증가했습니다.
그럼 이때 C1 = 2 C2일땐 어떻게 될까요?
Ans)

결론은 같습니다.
이번에도 4가지 케이스를 나눠보면 됩니다.
마찬가지로 핵심은 3번이겠죠?
식으로부터 v_out = 0.666v_in이 도출되었습니다.
이걸 바탕으로 lim 0->∞ 로 보내보면 역시나 v_out_infinite = 2Vp가 나오게 됩니다.
'전자회로' 카테고리의 다른 글
| [전자회로] Common Source Amplifier (0) | 2023.03.04 |
|---|---|
| [전자회로] MOSFET Biasing (1) | 2023.03.04 |
| [전자회로] Limiter (0) | 2023.03.04 |
| [전자회로] Rectifier (0) | 2023.03.03 |
| [전자회로] Diode Models & Circuit (0) | 2023.03.03 |
댓글